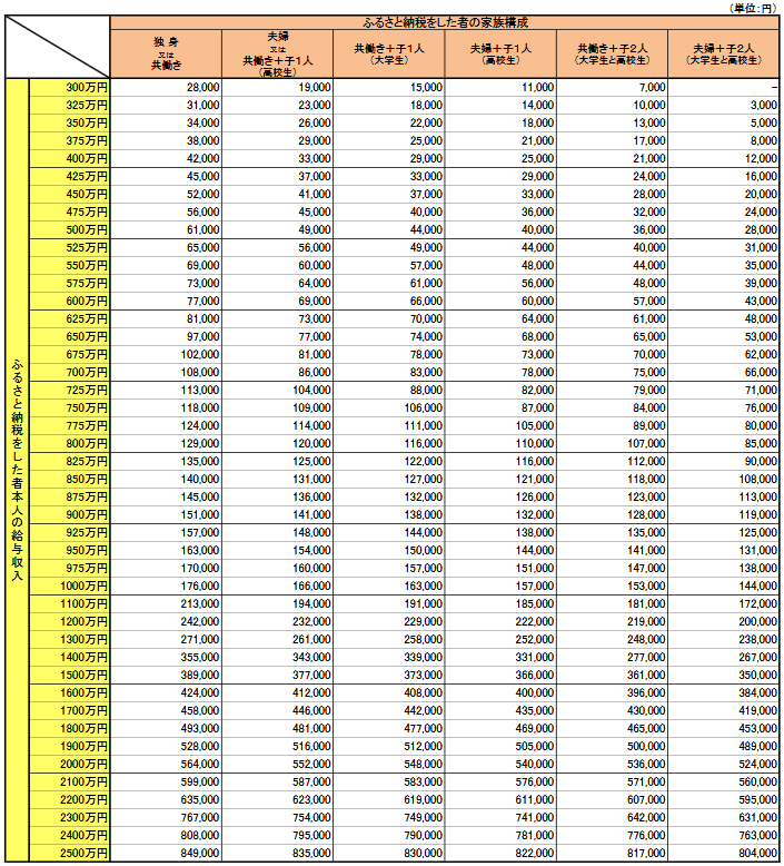
年収毎の控除金額の上限の目安

実質負担 2,000円を除く控除上限額の目安

ふるさと納税をした本人の給与収入と家族構成のパターン別のふるさと納税額(年間上限)の目安一覧です。

ふるさと納税額(年間上限)は、2,000円を除き全額が所得税(復興特別所得税を含む。)及び個人住民税から控除される額の上限です。

あくまで目安であり、具体的な計算は、お住まい(ふるさと納税翌年1月1日時点)の市区町村にお尋ねください。

控除上限額の目安

(参照:総務省ホームページ

 

atic%2Fcalculation01.php" rel="nofollow" target="_blank">

 

「PR」

1位
さとふる
さとふる
2位
ふるなび
ふるなび
3位
ふるなびグルメポイント
ふるなびグルメポイント
4位
ふるさとプレミアム
ふるさとプレミアム
5位
ふるり
ふるり



「PR」

© 2023 ふるさと納税 やり方 rss